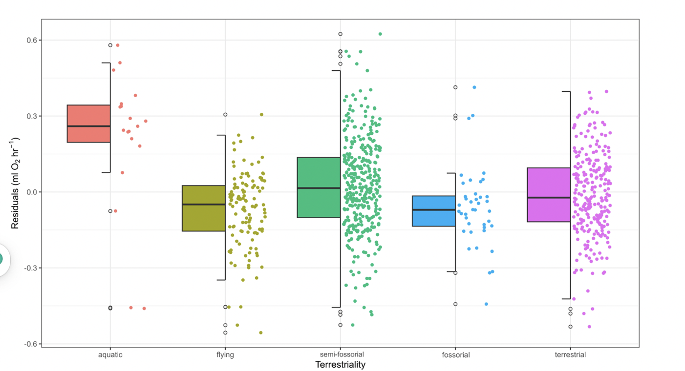
Congratulations (former) PhD student Hana Merchant on getting your ‘covid chapter’ accepted in Scientific Reports (and the 2nd paper from your PhD). Titled “No evidence for a signal in mammalian basal metabolic rate associated with a fossorial lifestyle”. More to follow.



Leave a comment