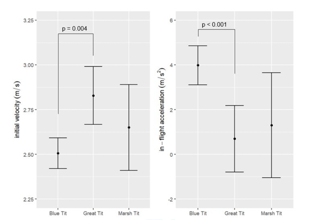
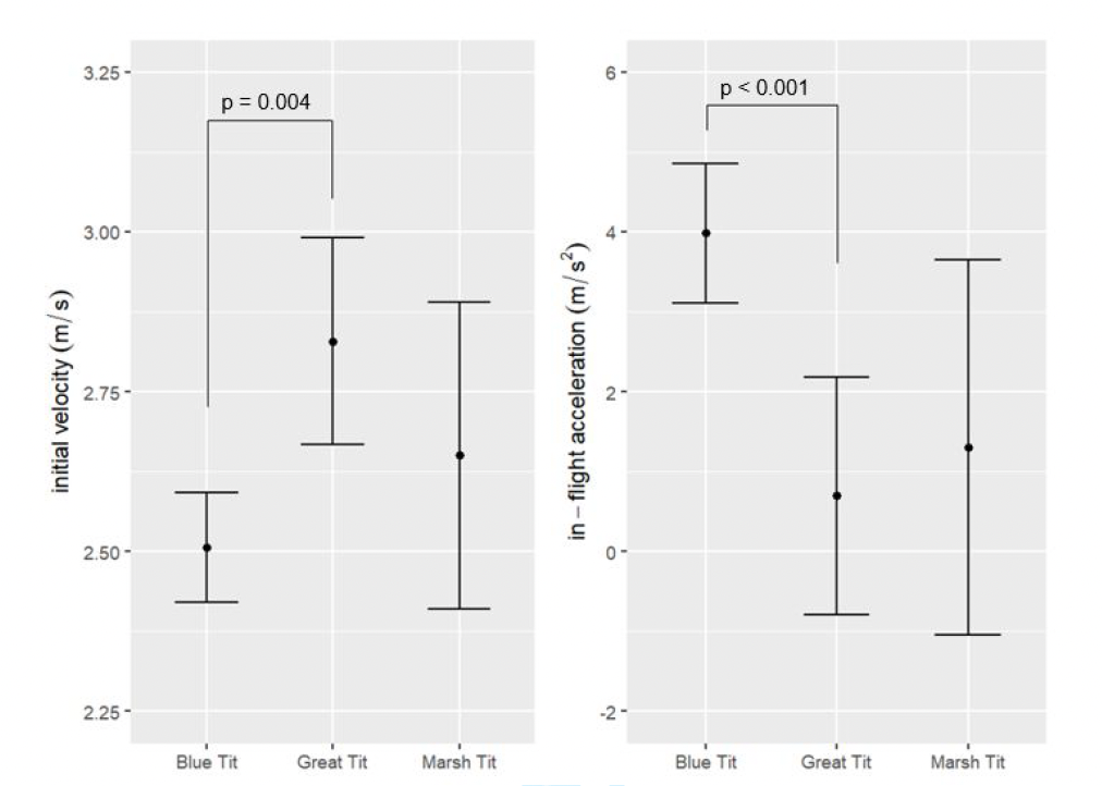
Congratulations first author Kyu-Min Huh on getting your first paper from your thesis accepted in Journal of the Royal Society Interface. Our paper is all about “Natural take-off flight performance is repeatable and scalable in mixed flock tit species”.

Leave a comment